原创 风信子 风信子亨廷顿舞蹈症 2023-01-18 12:30 发表于安徽
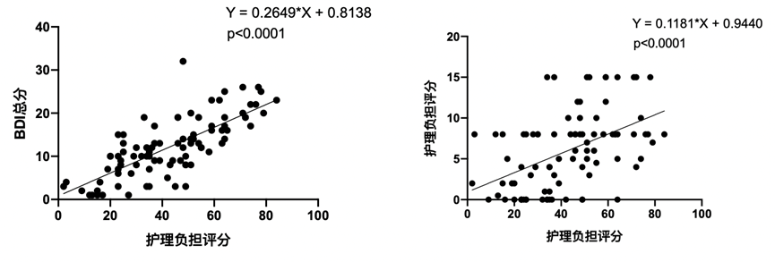
亨廷顿舞蹈症患者生存情况调研报告 (中西部) 06 患者照护者的负担 本次调研也对日常照护HD患者的照护者的情况进行了问卷分析。在患者照护方面,仅有5%的患者是由专业养老机构和专业护理人员照护,主要的照护负担(94%)还是落在患者的家人身上,超过一半的照护负担是由配偶承担(57%),22%由父母照顾,7%由子女照顾。 中西部患者的照护者中,女性照护者占多数(66%)。照护者平均每天要花6.49小时来照护患者。 男性照护者与女性照护者在年龄、每日照护病人时间、BDI抑郁量表评分和护理负担评分上均无统计学差异。 照护不同性别患者的照顾者的BDI抑郁量表评分存在差异。照顾男性患者的照护者更容易有抑郁倾向的表现。这可能与男性患者的运动症状比女性患者严重有关(p=0.07)。 我们发现照护负担评分与每日照顾患者时长呈显著相关性;每日照顾患者时长越长,护理负担越重。照护负担越重,BDI抑郁评分越高,越容易出现抑郁。 07 患者组织作为HD家庭 的社会支持系统 风信子是国内首家致力于服务亨廷顿舞蹈症患者和家庭的公益组织,由患者家属于 2016 年创立,理事会成员包括公益、医疗等相关领域的资深人士。发展至今,风信子关爱已经形成并发展了全国多地的患者与医生网络,累计帮助了几千名患者及家属。 风信子旨在结合社会资源,为亨廷顿舞蹈症患者群体发声、提供支持和帮助、改善医疗条件、提升患者及其家庭的生活质量,并最终实现在包容的社会环境下,给患者群体带来有尊严、有质量的生活。 在受访患者和照护者中,2/3以上的人表示风信子作为患者组织在HD疾病知识普及、推动药物和临床试验可及性、健康管理知识普及、疾病宣传、提供科研进展、政策倡导、患者家庭关爱、提供医疗资源、交流平台这些方面有帮助。 08 结论 在本次的调研中发现,亨廷顿舞蹈病会对患者本人及其家庭造成沉重的身体、精神及经济负担。在这次调研中,我们看到HD患者群体依然面临着诊断、治疗、随访和日常照护方面的多重挑战。 这次的调研设计与既往相比也增加了一些新的内容,包括患者的生活方式对疾病的影响、影响患者确诊的因素和患者的照护负担。从中我们也发现了一些在实践中可以改善的地方: 01 倡导患者进行积极的生活方式 调研结果显示运动锻炼习惯对患者的独立生活能力和抑郁症状都有改善,我们应当继续呼吁医生和患者家庭和社会组织对于健康生活方式的倡导,鼓励患者进行适度锻炼、养成运动锻炼的习惯,帮助改善患者的生活质量。 02 加强各级医生对HD确诊能力的培训 对于HD患者早诊断早治疗依然需要加强对各个级别医生的培训,减少医生因为对疾病知识的缺乏导致患者无法尽快确诊的情况,让他们有识别疾病、快速转诊给相关专家的能力。 03 重视患者抑郁症状的管理 相当比例的患者有严重的抑郁症状,疾病管理方面,患者抑郁症状的管理需要更多关注。 04 提高医保药物可及性 对于2021年一款改善HD运动症状的药物进入国家医保目录后,我们发现目前医保政策的报销比例依然不高,患者治疗的经济成本较高,需要继续呼吁各级政府落实医保报销政策、降低患者的治疗负担。 05 减轻照护者负担 HD患者家庭照护负担沉重,尤其是女性照护者,需要多方位支持。本次调研中我们第一次系统观察了患者的照护者的护理负担。作为一种病程一般长达15-20年的慢性疾病,HD的大部分照护负担都落在患者家属的身上。 患者在病程晚期会进入长期卧床的状态,甚至需要照护者的全天候照料,除了身体和精神上的负担,也会给患者家庭带来沉重的经济压力。 目前在全国多地试点的长期护理保险政策或许能为患者带来更多的支持,希望相关主管部门能够提高补贴的比例和降低准入门槛,让全年龄段的因病致残的患者都能够享受较高的补贴。 转载或引用本调研报告请先联系风信子亨廷顿舞蹈症关爱中心授权。 风信子关爱 支持我们的努力 扫码加入风信子月捐








